ScienceBooks
11강 장과 고전 역학 본문
『물리의 정석: 특수 상대성 이론과 고전 장론 편』이 출간되었습니다. 고전 물리학의 가장 위대한 업적인 특수 상대성 이론과 뉴턴, 맥스웰 이론의 기초인 고전 장론을 연결하는 레너드 서스킨드의 강의를 엮은 이 책은, 두 가지 이론을 통합하며 가르치는 만큼 이해하기가 더 어려울지도 모릅니다. 하지만 걱정하지 않아도 됩니다. 실제로 서스킨드의 강좌 수강생이었던 공저자 아트 프리드먼이 '초심자'의 입장에서 책 곳곳에 문제풀이 능력을 스스로 기를 수 있는 연습 문제들을 배치해 놓았으니까요. 연습 문제를 우여곡절 끝에 풀긴 풀었는데 이게 정답인지 확신이 가지 않는 분들을 위해, 그리고 어떻게 풀어야 할지 실마리가 보이지 않는 분들을 위해 (주)사이언스북스 블로그에서 『물리의 정석 솔루션: 특수 상대성 이론과 고정 장론 편』을 준비했습니다. 모두 8회에 걸쳐 이루어질 이번 연재를 통해 『물리의 정석: 특수 상대성 이론과 고전 장론 편』을 내 것으로 만들어 보세요.
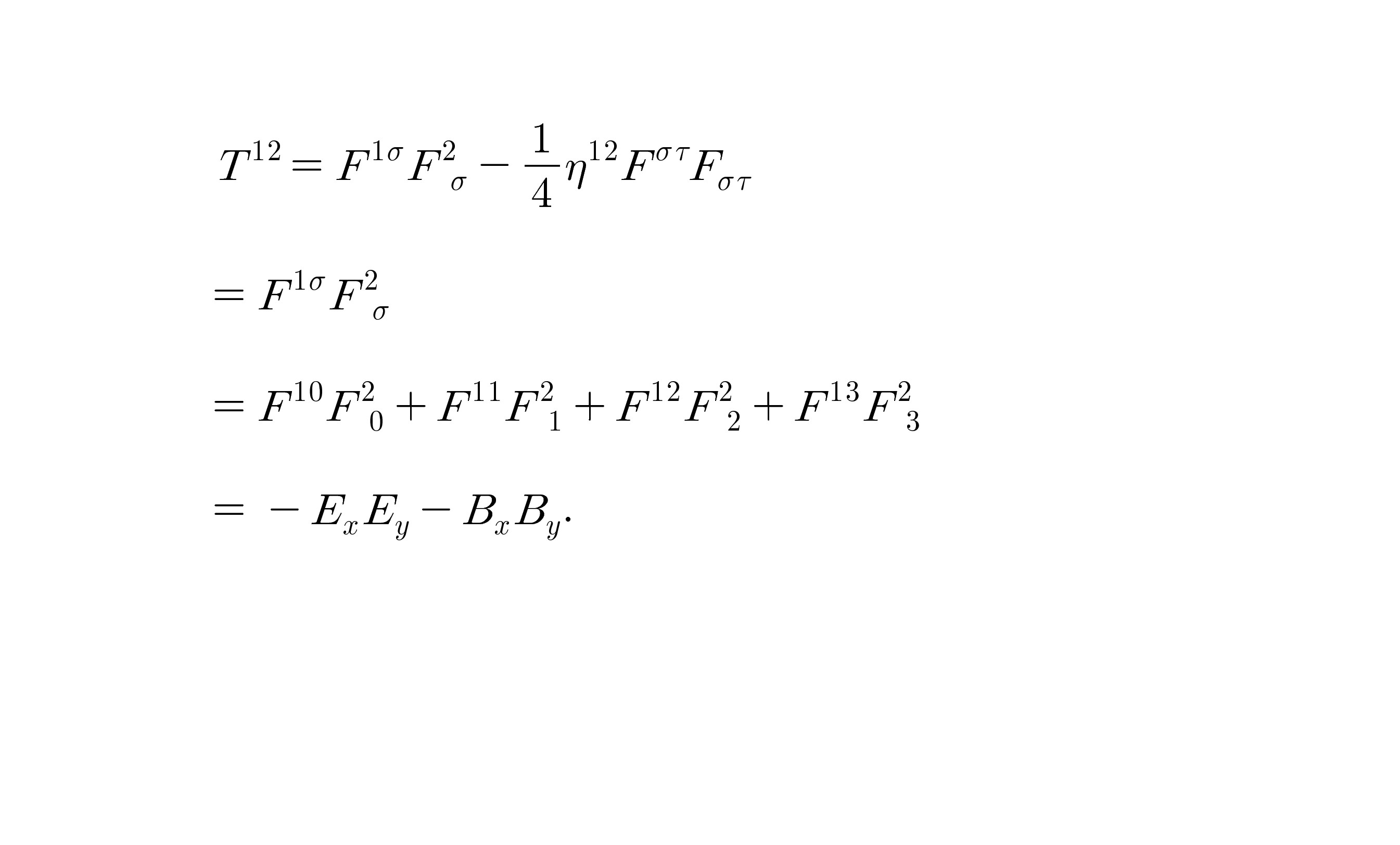
※9강에는 저자가 명시한 연습 문제가 없어, 11강 연습문제 풀이를 알려 드립니다.











▼11강 PDF파일 다운로드 ▼
물리의정석_솔루션_특수상대성이론과고전장론편_11강.pdf
0.24MB
※ 레너드 서스킨드의 책들 ※





'완결된 연재 > (完) 물리의 정석 솔루션: 특수 상대성 이론과 고전 장론 편' 카테고리의 다른 글
| 추가 문제 (0) | 2022.05.24 |
|---|---|
| 부록 A 자기 홀극 (0) | 2022.05.17 |
| 8강 맥스웰 방정식 (0) | 2022.05.02 |
| 6강 로런츠 힘의 법칙 (0) | 2022.04.25 |
| 5강 입자와 장 (0) | 2022.04.19 |
